Если вы видите это сообщение, значит, произошла проблема с загрузкой файлов в стилей (CSS) нашего сайта. Попробуйте сбросить кэш браузера (Ctrl+F5).
Если это не поможет, а вы находитесь в регионе, где возможны ограничения интернет-трафика с российских серверов - воспользуйтесь VPN.
Вход
Быстрая регистрация
Если вы у нас впервые: О проекте FAQ
0

ВПР Физика 11 класс, Как ответить на вопросы про сонары летучих мышей?

YurahaU [162K] 2 года назад 

Прочитайте текст и выполните задания...

Сонары летучих мышей.

"Звуковые волны принято подразделять на диапазон слышимых человеком волн, а также инфразвук, ультразвук и звук сверхвысокой частоты (или гиперзвук) (см. диаграмму).



Диапазон издаваемых и слышимых звуков у разных животных может сильно отличаться от диапазона звуковых волн, воспринимаемых человеком.

В 1938 г. американские исследователи Г. Пирс и Д. Гриффин, применив специальную аппаратуру, установили, что во время полёта мышь излучает короткие сигналы на частоте около 8 · 10⁴ Гц, а затем воспринимает сигналы, которые приходят к ней от ближайших препятствий и от пролетающих вблизи насекомых. Гриффин назвал способ ориентировки летучих мышей эхолокацией.

Известно, что для успешной эхолокации линейные размеры объекта должны быть больше или, по крайней мере, порядка длины волны звука. Чем меньше длина волны излучения, тем более мелкими могут быть объекты, которые необходимо опознать при помощи эхо-сигналов.

Летучие мыши – обладатели весьма совершенных природных звуковых радаров, или, иначе говоря, природных сонаров. Устройство сонаров различно у разных видов летучих мышей. Например, остроухая ночница (как, впрочем, и многие другие виды мышей) излучает звуковые волны через рот, а большой подковонос через ноздри, которые у него окружены кожистыми выростами наподобие рупоров.

Сигналы, посылаемые летучей мышью в полете, имеют характер очень коротких импульсов – своеобразных щелчков. Длительность каждого такого щелчка (1–5) · 10⁻³ с., ежесекундно мышь производит около десяти таких щелчков. Отражённые от объекта волны летучая мышь воспринимает ушами, имеющими сравнительно большие размеры".

1) К какому диапазону звуковых волн относятся волны, используемые в сонарах летучих мышей?

2) Вставьте пропущенные слова в предложение.

"В течение одной секунды летучая мышь производит примерно ______________ ультразвуковых щелчков. В промежутке между щелчками мышь воспринимает ________________­".

3) Каков минимальный линейный размер насекомого, которого летучая мышь может обнаружить, используя указанную в тексте частоту звуковой локации? Ответ поясните.

Скорость звука принять равной 330 м/с.

5

Ответы на вопросы по тексту будут следующими:

1) Летучая мышь во время своего полёта излучает короткие сигналы с частотой примерно 8 · 10⁴ Гц, что без сомнения можно отнести к ультразвуковому диапазону.

Правильный ответ: ультразвуковой диапазон.

2) В месте первого пропуска должно быть слово - "десять", а на месте второго окончание предложения - "отражённые от объекта волны ушами".

Таким образом, предложения с заполненными пропусками будет выглядеть так:

"В течение одной секунды летучая мышь производит примерно десять ультразвуковых щелчков. В промежутке между щелчками мышь воспринимает отражённые от объекта волны ушами".

Правильный ответ: "десять", "отражённые от объекта волны ушами".

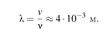
3) Известно, что линейные размеры объекта (для успешной эхолокации) должны быть по крайней мере больше порядка длины волны звука. Летучая мышь во время полёта излучает короткие сигналы на частоте 8 · 10⁴ Гц. Соответствующая ей длина волны будет равна:

Из этого следует, что минимальный линейный размер насекомого, которого может обнаружить летучая мышь, составляет 8 · 10⁻³ м.

Правильный ответ: 8 · 10⁻³ м.

Знаете ответ?
Есть интересный вопрос? Задайте его нашему сообществу, у нас наверняка найдется ответ!
Делитесь опытом и знаниями, зарабатывайте награды и репутацию, заводите новых интересных друзей!
Задавайте интересные вопросы, давайте качественные ответы и зарабатывайте деньги. Подробнее..
регистрация