Если вы видите это сообщение, значит, произошла проблема с загрузкой файлов в стилей (CSS) нашего сайта. Попробуйте сбросить кэш браузера (Ctrl+F5).
Если это не поможет, а вы находитесь в регионе, где возможны ограничения интернет-трафика с российских серверов - воспользуйтесь VPN.
Вход
Быстрая регистрация
Если вы у нас впервые: О проекте FAQ
3

Чему равны периметр и площадь шестиугольника ABCDEF (см)?

WinikiRu [232K] 3 года назад 

Ещё раз посмотрев на треугольник ABC из предыдущей задачи, Серёжа решил ещё тремя стрелками ограничить сразу шестиугольник ABCDEF, как показано на картинке. Задача: чему равны периметр и площадь полученной фигуры?

Треугольник и шестиугольник

3

Прошло больше года. За решение этой задачи так никто и не взялся. Даже искусственный интеллект её игнорирует. Впрочем, эти боты так до сих пор и не смогли справиться ни с одной из моих геометрических задач. Думаю, что не справятся и с этой, если только не перепишут один к одному правильный ответ, когда он появится. Честно говоря, в прошлом году я и сам ещё не знал, с чего начинать поиск верного решения. Но месяц тому назад удалось справиться с «Невиановым треугольником». Да, оказывается, именно так он называется. Кстати, в том ответе мы пользовались очень полезной формулой для определения длины чевианы:

Вычислить чевиану

  • p² = b²(x/a) + c²(y/a) - x*y = 3²(2/3) + 3²(1/3) - 2*1 = 7
  • p = √7 = 2,64575131106

В нашем случае мы имеем шесть чевиан. Они, кстати, тоже имеют свои названия. Если две чевианы делят противоположную сторону треугольника на три равные части, их называют тридианами. Если провести все шесть тридиан, то каждая из них будет разделена на пять частей. Не хотелось бы здесь сильно удаляться в подробности и доказательства, поэтому лишь доведу до вашего сведения: каждая тридиана здесь делится в соотношении (от вершины к стороне треугольника):

  • 3/7 : 6/35 : 3/20 : 3/28 : 1/7 или
  • 60 : 24 : 21 : 15 : 20

Шесть тридиан

Тогда длины интересующих нас отрезков будут равны:

  • 21 * √7 / (60 + 24 + 21 + 15 + 20) = 0,39686269666

В свою очередь периметр шестиугольника состоит из шести таких отрезков:

  • P = 6 * 0,39686269666 = 2,38117617996

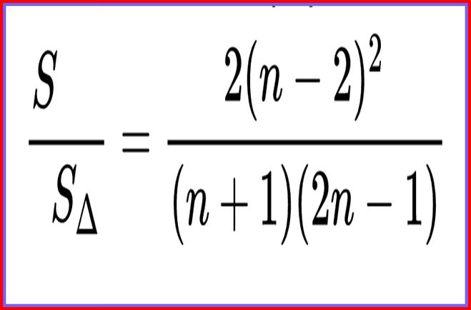
Я вам ещё забыл рассказать о том, что и эта фигура тоже имеет своё название - «Недианов шестиугольник». И для вычисления его площади тоже давно придумали формулу:

Формула для недианова шестиугольника

Это общая формула, где n - число равных частей, на которые чевианы делят противоположную сторону. Например, в частном случае, когда чевиана является медианой и делит сторону на две части, площадь будет равна нулю. А для нашей задачи с тридианами расчёт другой:

  • 2(n-2)² / (n+1)(2n-1) = 2*1² / 4*5 = 2 / 20 = 1 / 10

Таким образом площадь шестиугольника в десять раз меньше площади треугольника:

  • S = S∆ / 10 = (3²√3/4)/10 = 0,3897114317

В итоге:

  • P = 2,38117617996
  • S = 0,3897114317

Знаете ответ?
Есть интересный вопрос? Задайте его нашему сообществу, у нас наверняка найдется ответ!
Делитесь опытом и знаниями, зарабатывайте награды и репутацию, заводите новых интересных друзей!
Задавайте интересные вопросы, давайте качественные ответы и зарабатывайте деньги. Подробнее..
регистрация